website traffic statistics

Read This Also

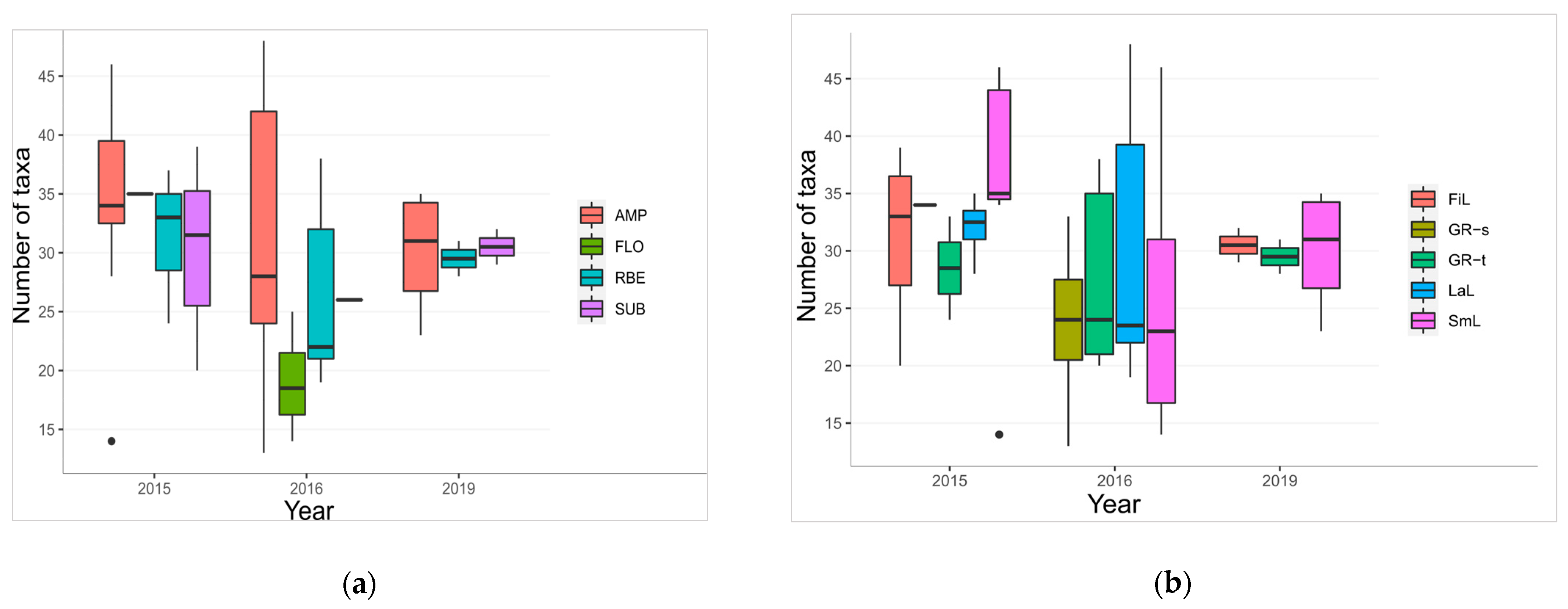
water free full text drivers of macrophyte and diatom diversity in a shallow hypertrophic lake html

water free full text drivers of macrophyte and diatom diversity in a shallow hypertrophic lake html

rurouni kenshin and samurai x anime おしゃれまとめの人気アイデア pinterest jena baxter アニメ るろうに剣心 村

rurouni kenshin and samurai x anime おしゃれまとめの人気アイデア pinterest jena baxter アニメ るろうに剣心 村

skleneny pokoj 2018 my books books reading

skleneny pokoj 2018 my books books reading

christmas music activity color by note music coloring pages updated music worksheets christmas music activities christmas music worksheets

christmas music activity color by note music coloring pages updated music worksheets christmas music activities christmas music worksheets

ipad note taking ipad tablet notes

ipad note taking ipad tablet notes

milked by royalty milked by royalty 1 6 by jena cryer

milked by royalty milked by royalty 1 6 by jena cryer

frank sinatra my way sheet music easy piano in c major transposable download print sheet music easy piano download sheet music

frank sinatra my way sheet music easy piano in c major transposable download print sheet music easy piano download sheet music

jabayev jambyl

jabayev jambyl

custom engraved wallet insert personalized wallet card mini love note metal wallet card an personalized wallet card engraved wallet insert engraved wallet

custom engraved wallet insert personalized wallet card mini love note metal wallet card an personalized wallet card engraved wallet insert engraved wallet

1

1

jcm free full text osteogenic cell behavior on titanium surfaces in hard tissue html

jcm free full text osteogenic cell behavior on titanium surfaces in hard tissue html

materials free full text the effect of uv treatment on the osteoconductive capacity of zirconia based materials html

materials free full text the effect of uv treatment on the osteoconductive capacity of zirconia based materials html

vintage flip book for penpals happy notes flip book sos

vintage flip book for penpals happy notes flip book sos

water free full text drivers of macrophyte and diatom diversity in a shallow hypertrophic lake html

water free full text drivers of macrophyte and diatom diversity in a shallow hypertrophic lake html

elves note name worksheets music theory lessons music worksheets music theory worksheets

elves note name worksheets music theory lessons music worksheets music theory worksheets

https wcd coe int wcd viewdoc jsp id 1504771 site coe

https wcd coe int wcd viewdoc jsp id 1504771 site coe

piano sheet music justin bieber lonely piano sheets in 2021 piano sheet music free piano sheet sheet music

piano sheet music justin bieber lonely piano sheets in 2021 piano sheet music free piano sheet sheet music

pin by jena o harra on charts for music class piano music words vance joy

pin by jena o harra on charts for music class piano music words vance joy

pdf limonium gmelinii willd o kuntze in serbia and republic of macedonia analysis of morphological variability

pdf limonium gmelinii willd o kuntze in serbia and republic of macedonia analysis of morphological variability

pin on sheem luv tiger spirit

pin on sheem luv tiger spirit

water free full text drivers of macrophyte and diatom diversity in a shallow hypertrophic lake html

water free full text drivers of macrophyte and diatom diversity in a shallow hypertrophic lake html

wisdom of the oracle divination cards by colette baron reid

wisdom of the oracle divination cards by colette baron reid

smart do garmin headlight sklo kuchyně smd ve pokoj skleněný zahradu skandinávský led letak snídaňový led koupelna sklo osvětlení sklo v sklo games sklo tapeta slow svítidlo sklo kreslené tapety kuchyni sladke skladba sklo zahradě postel smd zahradě zahrada čaj bílý sklo bulb sob sklo kuchyní